
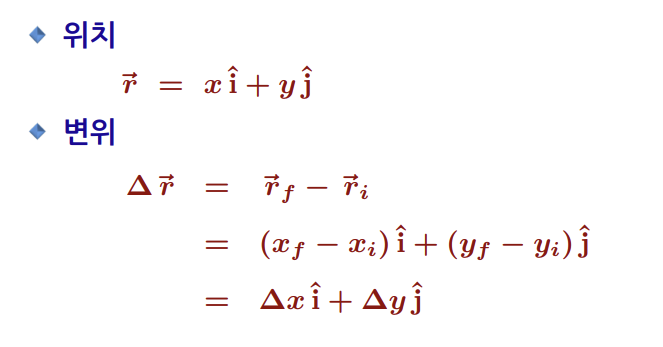
2차원 벡터는 (x,y)로 표시한다.

하진자너무어려워서머라는지1도모르겟어오
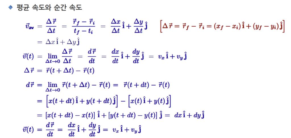
속도는 벡터고 속력은 스칼라라 표현할때 주의해야한다.

대충 2차원상에선 x와 y로 분리하라는 것 같다.


포물체의 운동 – 역시 고등학교랑 다를게 없다

아 이건 어렵다

아 물2 열심히좀 할껄
상대운동은 귀찮아서 생략

2차원 벡터는 (x,y)로 표시한다.

하진자너무어려워서머라는지1도모르겟어오
속도는 벡터고 속력은 스칼라라 표현할때 주의해야한다.

대충 2차원상에선 x와 y로 분리하라는 것 같다.


포물체의 운동 – 역시 고등학교랑 다를게 없다

아 이건 어렵다

아 물2 열심히좀 할껄
상대운동은 귀찮아서 생략
Very good i like it