
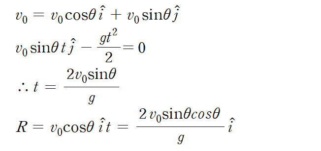
최대높이일때: 수평속도 v, 수직속도 0
따라서 출발할때 속력: 2v = 수평속도 v + 수직속도 x
-> x = sqrt(3)v
따라서 60도



5t^2=1m -> t=1/sqrt(5)
v_0t=2m -> v_0=2sqrt(5)

R=4*10^5km
w=2pi(rad)/27일 ≅ 2.7*10^-6 rad/s
v=rw ≅ 1080m/s
v=r^2w ≅ 0.0029m/s^2


- 4배

2. 2sqrt(2)
3.(a) 4초
3.(b) 60m
3.(c) 40m/s^2, 15m/s^2 -> 5sqrt(73)m/s^2
3.(d) 25m/s
조회수: 12

정말 흥미로운 사진이네요. M84와 M86의 타원을 모습이 이렇게 잘 담겨있다니 놀랍습니다.