

Wf = 30N*0.50m = 15J
Wg = -mgsin30*0.50m = -2.45J




(a) mgh j = 5886J
(b), (c) 학생이 움직이며 속도를 조절했기에

나는 서술형을 풀 자신이 없다

F = (8xN/m + 4N)i -> 0~3구간 적분 = 48J
용수철 힘 = kx
용수철 일 = kx^2/2

F = (7.0N – 0.1*5.0kg*g)*5.0m = 10J (g=10), 35J/-25J
10J = (5.0kg * v^2) /2 -> 2m/s
구심력은 0이다
속력은 그대로인데 방향이 바뀌는 것이기 때문

2 (a) (6i – 6j)J
2 (b) 이씨발 이거모르겠다 사실 a도 모르겠다
3. 3yj는 90도니 제외, 4xi를 0~5 적분 -> 50J
4. F = -ax^2 -> 0~3적분/0~2적분 = 답
솔직히 맞는지 모르겠다

1.
2. (19.8Ni-μ*2gi)10=2*10*10/2 -> 9.8N=2μg -> μ=0.5
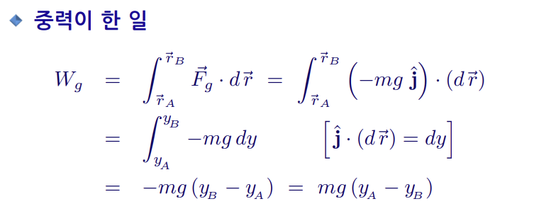
3. mgy
조회수: 13

정말 멋진 사진이에요. 구상성단이 이렇게 아름다울 줄은 몰랐네요.