- 저자정보: 범승민 (한국기술교육대학교), 박성재 (한국기술교육대학교), 이수빈 (한국기술교육대학교)
- 저널정보: 한국추진공학회 2025년도 추계학술대회 논문집
- 발행연도: 2025.12
KNSB는 단순한 제조 과정과 검증된 안전성으로 로켓 추진제로 사용되는 고체연료이다.
목표 달성을 위하여 로켓 추진시스템의 성능 요구 조건을 분석, 노즐/연료/챔버 설계와 구조적 안정성 검토 및 TMS 연소 시험을 진행하여 추진 시스템의 적합성을 검증하여야 한다.
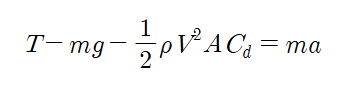
기본 조건은 총 질량 3,750g에 목표 고도 400m이다. 로켓은 1차원 로켓 운동을 한다고 가정하였다.

A는 로켓의 최대 단면적을 기준으로 하는 기준 면적이며, Cd는 이에 상응하는 항력계수이다. 해당 방정식을 수치적분 하여 목표 고도를 만족하는 총충격량은 404.3N-sec로 선출되었다.
챔버 압력은 성능과 안전을 고려하여 30bar를 기준으로 설계하였다.
엔진의 제원은 다음과 같다

챔버 외경은 58mm, 총길이는 동체와의 결합을 고려하여 200mm로 산정하였다. 재질은 알루미늄 AI 6063-T5 두께 3mm 파이프로 제작하였으며, 해당 재질의 항복강도 276MPa를 고려해 챔버 압력 30bar 기준 안전계수 9.4로 산출되었다.
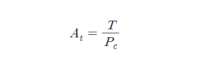
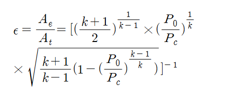
노즐은 연소 특성과 제작 조건을 종합적으로 고려하여 수축-확산형 원추형 노즐을 채택하였다. 노즐은 등엔트로피 1차원 유동을 가정했고, 챔버 압력(Pc), 노즐 배기압력(P0), 연료 비열비(k), 설계추력(T), 확산각(theta)를 고려해 형상을 도출하였다

다음 공식을 통해 노즐목 면적(At)룰 구했고

다음 공식을 통해 팽창비(epsilon) 4.61과 배기 면적(Ae)를 구하였다.
재질은 아까 적었던 알류미늄 6063이 아닌 알류미늄 6061을 사용하였다.

노즐의 제원이다.

엔진의 모습이다.
로켓의 추진제는 KNSB로 제작되었으며, 엔진의 초기압력 형성을 위해 자체제작한 3-fin 코어를 사용했고, 코어 면적은 160.45mm^2이다.
추진제의 설계 치수는 다음과 같다:

추진제 규격은 다음과 같다:


추력 측정 장치(Trust Measure System)은 도르셀 하중 센서를 통해 측정하며, 직선 운동 가이드(Linear Motion Guide)를 사용해 추력 방향 움직임을 도왔다. 안전상 이유로 측정장치 양방향에 8mm 두께의 투명 아크릴판을 설치하였다. 로드셀은 BCA-75L 모델을 사용하였으며, 로드셀의 측정값은 회로 내의 HX-711을 통해 증폭되어 기록된다. 회로도 사진은 첨부하지 않겠다.
연소는 UTP(Unshielded Twisted Pair) LAN 케이블을 이용해 50m 바깥의 범위에서 신호를 보냈다.
연소시험 결과 센서가 80Hz 간격으로 데이터를 측정했고, 총 연소시간은 3.82초였다. 최대 추력은 172.7N으로 측정되었으며 총충격량은 338.0 N-sec 이다.
연소시험데이터는 첨부하지 않겠다.

엔진의 제원이다.
에비오닉스는 비행 중의 고도와 가속도 데이터를 저장하고, 실시간으로 지상국에 전송할 수 있어야 한다. 또한 사출 조건 만족 시 회수 모듈 사출에 사용되는 서보모터를 동작시킬 수 있어야 한다. 따라서 다음과 같은 조건이 요구된다:
- 고도데이터 수집
- 가속도 데이터 수집
- SD카드에 기록
- 데이터를 실시간으로 기지국에 전송
- 회수모듈 작동명령
에비오닉스는 MCU(Micro Controller Unit)과 가속도 센서(IMU), 고도기압센서 2개, RF통신모듈, SD카드 모듈로 구성된다. 각 제품명은 적지 않겠다.
부착할 PCB 기판도 설계했다.
최종 로켓의 제원은 다음과 같다:


압력중심은 OpenRocket을 통해, 무게 중심은 SOLIDWORKS를 통해 확인하였다.
사출장치는 스프링을 이용해 탄성력을 계산하고 어쩌구저쩌구 아무튼 원터치 에어 커플러를 활용한 사출 메커니즘을 도입하였다.
실제 비행 테스트 결과 295m 비행하였으며 이는 초기설계와 다른 값이지만, TMS 결과 예상된 값과 일치한다.
설계성능 미충족의 원인으로 연소 중 노즐의 침식과 추진체의 낮은 밀도로 분석된다.
그러나 TMS 결과값과 실 비행테스트 결과값 간 오차율은 0.8%로 신뢰성있게 검증되었음을 확인할 수 있었다.
조회수: 16

[…] 마카리안 프로젝트 일환으로 촬영된 크롭본이다. […]