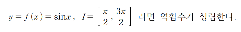
삼각함수는 일대일함수가 아니기에 역함수를 정의할 수 없다. 그렇기에 역삼각함수를 정의할려면 정의역을 제한하여 일대일함수로 만들어줘야 한다.

역삼각함수는 앞에 arc를 붙여서 표현해준다.

난 개빡대가리라 이거 이해하는데 한참 걸렸다. 그래서 나중에 다시봐도 이해못할꺼같으니 요약하자면, x=arcsiny 자체가 arcsin(sinx)=x, 걍 역함수 상쇄되는 꼴이다.
예제)

또다른 예제풀이)

세타를 좀 잘못쓰는거같긴 하지만 원래 수학못해서 나한텐 아무문제안됨

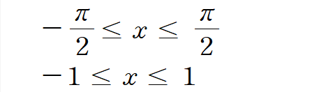
다음식이 성립할려면 x의 범위를 걸어주어야한다.(역시 arcsin 때문에)

요렇게
사실 범위를 저따구로 걸어야하는건 이해 잘 안됫음

아크코사인과 아크탄젠트도 같은 방식으로 진행된다.

비슷한거 하나더

역삼각함수 끝

시컨트 코시컨트 코탄젠트도 똑같이 해주면된다.
조회수: 34

정말 멋진 사진이에요. 구상성단이 이렇게 아름다울 줄은 몰랐네요.