미분법은 3개 밖에 존재하지 않는다: 합성함수의 미분, 음함수의 미분, 역함수의 미분
.
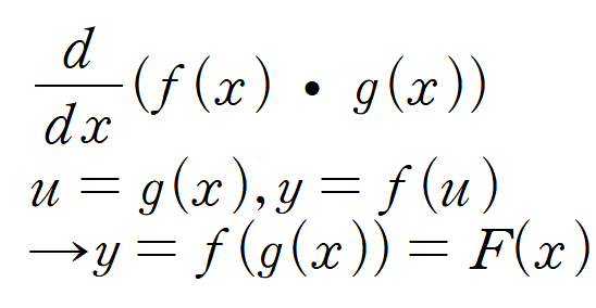
합성함수의 미분

사실 졸아서 필기 다 못적었따
.
.
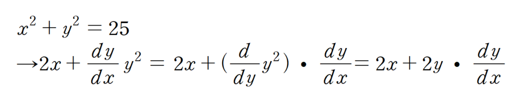
음함수의 미분:

어차피 dy/dx만 찾으면 되니까, 굳이 양함수로 만들어서 고생하지 말고, 저렇게 해서 구하자~ 라는 미분이다.
예시)

.
.
역함수의 미분은 교수님이 생략하셨다.
.
.
.
자 arcsiny (y=sinx, x의 범위는 [-pi/2, pi/2] ) 의 도함수를 구해보자.

보면 합성함수의 미분법을 활용하여 미분을 했다.
마지막 식에서 플마는 arcsiny의 조건에 있는 범위로 사분면 판단하면 나온다.
참고로 -1<y<1 깜박했다.
.
.
예제) d/dθ sin^-1(sqrt{sinθ})를 구하시오:


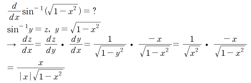
예제) d/dx sin^-1(sqrt{1-x^2})를 구하시오:

-1<x<1 깜박함
.
.
.
.
.
…..
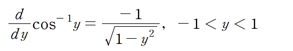
비슷한 논리로 arccosy의 도함수도 구할수 있다:

.
.
비슷한 논리로 arctany의 도함수도 구할 수 있다.

.
.
예제) d/dx tan^-1(x-sqrt(1+x^2))=?

.
.
..
.
.
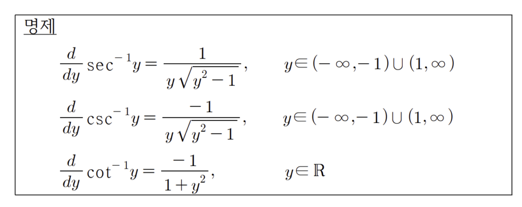
나머지도 비슷하게


I am genuinely thankful to the owner of this web page who has shared this impressive paragraph at here.