- tan(arcsinx)를 간단히 하시오:

2. csc(arctan2x)를 간단히 하시오:

3. sqrt(tan^-1x)의 도함수를 구하시오:

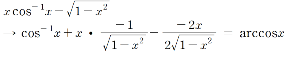
4. xcos^-1x-sqrt{1-x^2}의 도함수를 구하시오:

5. tan^-1(x-sqrt(1+x^2))의 도함수를 구하시오:
풀이를 적을 가치도 없는 존나쉬운문제다
6. 점 (1,pi)에서 곡선 y=3arccos(x/2)에 대한 접선의 방정식을 구하시오:
존나쉽다 답은 y=(-sqrt3)*(x-1)+pi
7. x→∞일 때, 함수 arccos((1+x^2)/(1+2x^2))의 극한값을 구하시오:
arccos(1/2)=pi/3
8. x→0+일 때, 함수 tan^-1(lnx)의 극한값을 구하시오:
lnx의 값은 -∞로 발산하게 된다. 따라서 arctan(-∞)=-pi/2이기에 이게 답이다.

wish you all the best