위치: 공간의 점
대부분의 물리량은 스칼라, 벡터 등으로 나타낼 수 있다.
참고로 위치는 표현이 좌표계의 원점에 의존하므로 벡터가 아니다.
.
.
.
물리량: 좌표계와 무관한 객관적인 양
거리: 변위의 크기
스칼라: 표현이 좌표계와 무관한 물리량(거리, 질량, 속력, 시간)
벡터: 변위와 같이 성분이 변하는 물리량(변위, 속도, 가속도, 운동량, 전기장)
.
.
.
.
.
평균 속도와 평균 속력은 알아서 계산하시고,
순간속도는…거리를 시간에 대해 미분한 값이다. v(t)=dx/dt

좀 자세히 봐보셈
신기하다

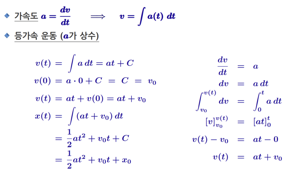
가속도는 다시 속도를 미분
.
.

그렇다고 한다.
.
.

.
.
.
.

.
.
.
.


I am genuinely thankful to the owner of this web page who has shared this impressive paragraph at here.