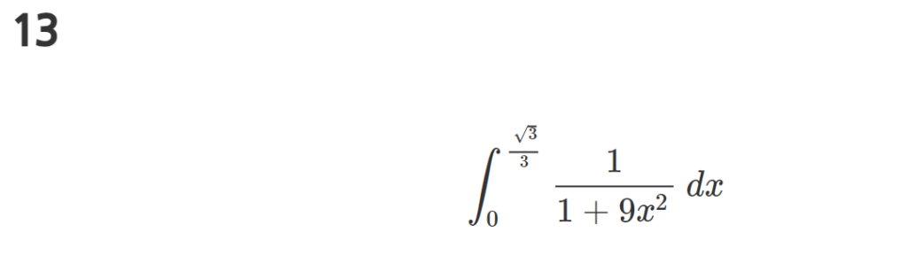
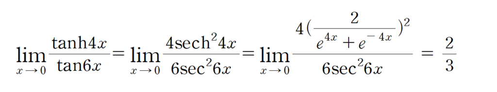
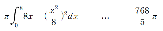
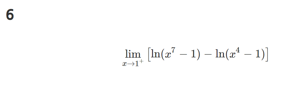
4주차 과제 문제 풀이

진짜 이거도 못풀면 병신이다.

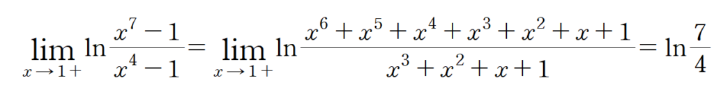
문제오류

조회수: 16

이 글은 카테고리: 1학년_미적분학1에 포함되어 있습니다. 고유주소를 북마크하세요.

답글 남기기

이메일 주소는 공개되지 않습니다. 필수 필드는 *로 표시됩니다