부정적분과 치환적분을 삼각함수로 하는거지, 개념적으로 새로 도입되는 것은 없다.
우선 삼각적분부터,
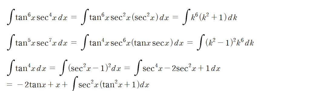
홀수항이면 sin^2(x) + cos^2(x) = 1 개념을 이용하여 계산한다.

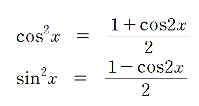
짝수항이면 배각공식이였나? 를 사용한다.


tanx와 secx는 아무튼 잘 해본다


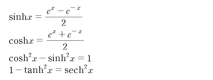
번외로

이런 것도 있다.
삼각치환은 x를 삼각함수로 치환하는 것이다.

왼쪽 꼴이 뜨면 오른쪽처럼 치환해주면 된다.
1/2/3주차에 배운 공식들도 정리하자면



부정적분과 치환적분을 삼각함수로 하는거지, 개념적으로 새로 도입되는 것은 없다.
우선 삼각적분부터,
홀수항이면 sin^2(x) + cos^2(x) = 1 개념을 이용하여 계산한다.

짝수항이면 배각공식이였나? 를 사용한다.


tanx와 secx는 아무튼 잘 해본다


번외로

이런 것도 있다.
삼각치환은 x를 삼각함수로 치환하는 것이다.

왼쪽 꼴이 뜨면 오른쪽처럼 치환해주면 된다.
1/2/3주차에 배운 공식들도 정리하자면



wish you all the best