3주차 – 극한의 개념

고등학교 개념과 달라진게 없다.

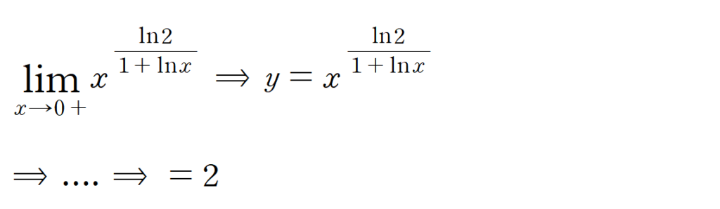
챗지피티 돌린거라 맞는지를 모르겠다

조회수: 30

이 글은 카테고리: 1학년_미적분학1에 포함되어 있습니다. 고유주소를 북마크하세요.

답글 남기기

이메일 주소는 공개되지 않습니다. 필수 필드는 *로 표시됩니다