3주차 – 부피

넓이 f(x)를 x=a부터 x=b까지 적분하면 부피다

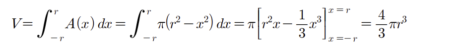
예시) 원의 부피:

뭐 그렇다고 한다.

조회수: 12

이 글은 카테고리: 1학년_미적분학1에 포함되어 있습니다. 고유주소를 북마크하세요.

답글 남기기

이메일 주소는 공개되지 않습니다. 필수 필드는 *로 표시됩니다