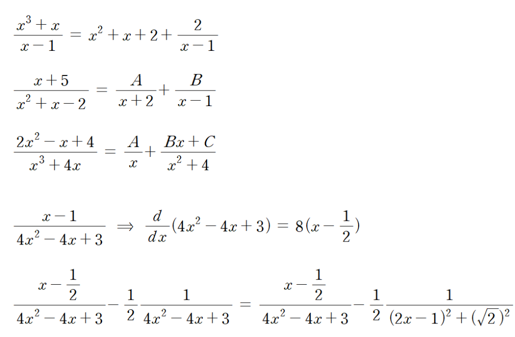
열심히 뽀갠다음 삼각치환을 쓰면 된다.
조회수: 9
이메일 주소는 공개되지 않습니다. 필수 필드는 *로 표시됩니다
댓글 *
이름 *
이메일 *
웹사이트
다음 번 댓글 작성을 위해 이 브라우저에 이름, 이메일, 그리고 웹사이트를 저장합니다.
정말 흥미로운 사진이네요. M84와 M86의 타원을 모습이 이렇게 잘 담겨있다니 놀랍습니다.
[…] 마카리안 프로젝트 일환으로 촬영된 크롭본이다. […]
정말 흥미로운 연구네요. 흑점을 이용한 자전 주기 측정 방법은 새로운 시각을 제공해 줄 것 같아요.
정말 흥미로운 사진이네요. M84와 M86의 타원을 모습이 이렇게 잘 담겨있다니 놀랍습니다.