
해당 이상적분이 수렴한다…
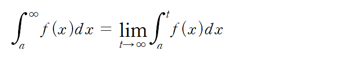
이상적분은 극한의 개념이다. 따라서 이상적분이 수렴하느냐 발산하느냐를 판단하고, 수렴하는 경우 그 수렴값을 찾으면 된다.

다만 이건 존재할 수 없는데, 이유는 생략

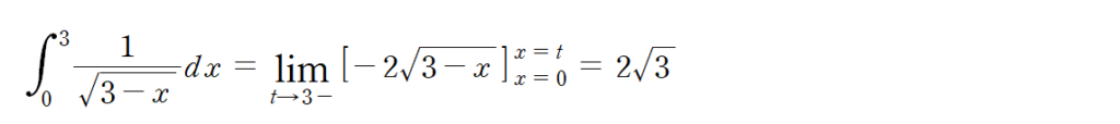
구간 [a,b)에서 연속이고 x=b에서 무한불연속인 함수:

구간 [a,c)와 (c,b]에서 연속이고, x=c에서 무한불연속인 함수:
a에서 b까지 적분 = a에서 c까지 적분 + c에서 b까지 적분

다음 풀이는 올바르지 않다:

-1~0 과 0~1로 분리해서 계산하는데, 계산하면 -∞과 ∞ 이기에 발산한다.

조회수: 13

정말 멋진 사진이에요. 구상성단이 이렇게 아름다울 줄은 몰랐네요.